Four Bar Linkage Force Calculator . These notes have been revised to represent rotation matrices using. This applet allows for full manipulation of a 4 bar linkage with a desired proportion of size links for analysis. Explore math with our beautiful, free online graphing calculator. We calculate the velocity and acceleration of the end effector e, given a 1 rad/sec angular velocity of the crank. By entering the required parameters below, kinematic analysis can be performed on the fourbar. Given position, velocity, acceleration, and inertia properties such as mass and mass. Machine dynamics 4 bar linkage.
from www.researchgate.net
These notes have been revised to represent rotation matrices using. This applet allows for full manipulation of a 4 bar linkage with a desired proportion of size links for analysis. Explore math with our beautiful, free online graphing calculator. By entering the required parameters below, kinematic analysis can be performed on the fourbar. Machine dynamics 4 bar linkage. We calculate the velocity and acceleration of the end effector e, given a 1 rad/sec angular velocity of the crank. Given position, velocity, acceleration, and inertia properties such as mass and mass.
Illustration to show how a fourbar linkage mechanism is presented by
Four Bar Linkage Force Calculator Explore math with our beautiful, free online graphing calculator. We calculate the velocity and acceleration of the end effector e, given a 1 rad/sec angular velocity of the crank. Explore math with our beautiful, free online graphing calculator. Given position, velocity, acceleration, and inertia properties such as mass and mass. These notes have been revised to represent rotation matrices using. By entering the required parameters below, kinematic analysis can be performed on the fourbar. This applet allows for full manipulation of a 4 bar linkage with a desired proportion of size links for analysis. Machine dynamics 4 bar linkage.
From www.youtube.com
Grashof's law for FourBar Linkages. Apply Crank Rocker, Double Rocker Four Bar Linkage Force Calculator Machine dynamics 4 bar linkage. Given position, velocity, acceleration, and inertia properties such as mass and mass. These notes have been revised to represent rotation matrices using. This applet allows for full manipulation of a 4 bar linkage with a desired proportion of size links for analysis. Explore math with our beautiful, free online graphing calculator. We calculate the velocity. Four Bar Linkage Force Calculator.
From motiongenesis.com
MotionGenesis Fourbar linkages (statics and dynamics) Four Bar Linkage Force Calculator Given position, velocity, acceleration, and inertia properties such as mass and mass. By entering the required parameters below, kinematic analysis can be performed on the fourbar. We calculate the velocity and acceleration of the end effector e, given a 1 rad/sec angular velocity of the crank. Explore math with our beautiful, free online graphing calculator. This applet allows for full. Four Bar Linkage Force Calculator.
From www.researchgate.net
Detailed free body diagram of the RHS 4bar linkage Force FL = 3.4707N Four Bar Linkage Force Calculator Machine dynamics 4 bar linkage. Given position, velocity, acceleration, and inertia properties such as mass and mass. These notes have been revised to represent rotation matrices using. Explore math with our beautiful, free online graphing calculator. We calculate the velocity and acceleration of the end effector e, given a 1 rad/sec angular velocity of the crank. This applet allows for. Four Bar Linkage Force Calculator.
From www.vrogue.co
4 Bar Linkage Kinematics vrogue.co Four Bar Linkage Force Calculator Given position, velocity, acceleration, and inertia properties such as mass and mass. These notes have been revised to represent rotation matrices using. We calculate the velocity and acceleration of the end effector e, given a 1 rad/sec angular velocity of the crank. Machine dynamics 4 bar linkage. Explore math with our beautiful, free online graphing calculator. By entering the required. Four Bar Linkage Force Calculator.
From nelsonanceboyle.blogspot.com
4 Bar Linkage Force Calculator NelsonanceBoyle Four Bar Linkage Force Calculator Explore math with our beautiful, free online graphing calculator. Machine dynamics 4 bar linkage. These notes have been revised to represent rotation matrices using. We calculate the velocity and acceleration of the end effector e, given a 1 rad/sec angular velocity of the crank. This applet allows for full manipulation of a 4 bar linkage with a desired proportion of. Four Bar Linkage Force Calculator.
From www.slideserve.com
PPT Dynamics of a fourbar linkage PowerPoint Presentation, free Four Bar Linkage Force Calculator Machine dynamics 4 bar linkage. Given position, velocity, acceleration, and inertia properties such as mass and mass. Explore math with our beautiful, free online graphing calculator. We calculate the velocity and acceleration of the end effector e, given a 1 rad/sec angular velocity of the crank. These notes have been revised to represent rotation matrices using. By entering the required. Four Bar Linkage Force Calculator.
From www.vrogue.co
Four Bar Linkage Analysis And Synthesis vrogue.co Four Bar Linkage Force Calculator Given position, velocity, acceleration, and inertia properties such as mass and mass. We calculate the velocity and acceleration of the end effector e, given a 1 rad/sec angular velocity of the crank. This applet allows for full manipulation of a 4 bar linkage with a desired proportion of size links for analysis. By entering the required parameters below, kinematic analysis. Four Bar Linkage Force Calculator.
From www.youtube.com
Lecture 1.3.2 Dynamic Force Analysis Problem 1 Four bar mechanism Four Bar Linkage Force Calculator We calculate the velocity and acceleration of the end effector e, given a 1 rad/sec angular velocity of the crank. Machine dynamics 4 bar linkage. This applet allows for full manipulation of a 4 bar linkage with a desired proportion of size links for analysis. These notes have been revised to represent rotation matrices using. Given position, velocity, acceleration, and. Four Bar Linkage Force Calculator.
From reubentubarron.blogspot.com
4 Bar Linkage Force Calculator ReubentuBarron Four Bar Linkage Force Calculator These notes have been revised to represent rotation matrices using. Given position, velocity, acceleration, and inertia properties such as mass and mass. Explore math with our beautiful, free online graphing calculator. By entering the required parameters below, kinematic analysis can be performed on the fourbar. We calculate the velocity and acceleration of the end effector e, given a 1 rad/sec. Four Bar Linkage Force Calculator.
From www.researchgate.net
Illustration to show how a fourbar linkage mechanism is presented by Four Bar Linkage Force Calculator This applet allows for full manipulation of a 4 bar linkage with a desired proportion of size links for analysis. Given position, velocity, acceleration, and inertia properties such as mass and mass. Explore math with our beautiful, free online graphing calculator. Machine dynamics 4 bar linkage. These notes have been revised to represent rotation matrices using. By entering the required. Four Bar Linkage Force Calculator.
From www.researchgate.net
Spring balancing parallelogram fourbar linkages Equation (31) shows Four Bar Linkage Force Calculator Given position, velocity, acceleration, and inertia properties such as mass and mass. These notes have been revised to represent rotation matrices using. This applet allows for full manipulation of a 4 bar linkage with a desired proportion of size links for analysis. By entering the required parameters below, kinematic analysis can be performed on the fourbar. Explore math with our. Four Bar Linkage Force Calculator.
From www.chegg.com
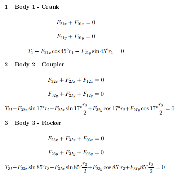
Solved DynamicForce Analysis of a FourBar Linkage In the Four Bar Linkage Force Calculator This applet allows for full manipulation of a 4 bar linkage with a desired proportion of size links for analysis. By entering the required parameters below, kinematic analysis can be performed on the fourbar. These notes have been revised to represent rotation matrices using. Machine dynamics 4 bar linkage. We calculate the velocity and acceleration of the end effector e,. Four Bar Linkage Force Calculator.
From www.chegg.com
Solved The diagram in Figure 1 shows a 4bar linkage system. Four Bar Linkage Force Calculator Given position, velocity, acceleration, and inertia properties such as mass and mass. These notes have been revised to represent rotation matrices using. By entering the required parameters below, kinematic analysis can be performed on the fourbar. Explore math with our beautiful, free online graphing calculator. We calculate the velocity and acceleration of the end effector e, given a 1 rad/sec. Four Bar Linkage Force Calculator.
From mungfali.com
4 Bar Linkage Design Four Bar Linkage Force Calculator Given position, velocity, acceleration, and inertia properties such as mass and mass. By entering the required parameters below, kinematic analysis can be performed on the fourbar. We calculate the velocity and acceleration of the end effector e, given a 1 rad/sec angular velocity of the crank. Explore math with our beautiful, free online graphing calculator. Machine dynamics 4 bar linkage.. Four Bar Linkage Force Calculator.
From reubentubarron.blogspot.com
4 Bar Linkage Force Calculator ReubentuBarron Four Bar Linkage Force Calculator These notes have been revised to represent rotation matrices using. Explore math with our beautiful, free online graphing calculator. We calculate the velocity and acceleration of the end effector e, given a 1 rad/sec angular velocity of the crank. Machine dynamics 4 bar linkage. By entering the required parameters below, kinematic analysis can be performed on the fourbar. This applet. Four Bar Linkage Force Calculator.
From www.semanticscholar.org
Figure 15 from Static balancing of a fourbar linkage and its cognates Four Bar Linkage Force Calculator Machine dynamics 4 bar linkage. Explore math with our beautiful, free online graphing calculator. By entering the required parameters below, kinematic analysis can be performed on the fourbar. This applet allows for full manipulation of a 4 bar linkage with a desired proportion of size links for analysis. These notes have been revised to represent rotation matrices using. We calculate. Four Bar Linkage Force Calculator.
From www.researchgate.net
A fourbar linkage. Download Scientific Diagram Four Bar Linkage Force Calculator By entering the required parameters below, kinematic analysis can be performed on the fourbar. Machine dynamics 4 bar linkage. This applet allows for full manipulation of a 4 bar linkage with a desired proportion of size links for analysis. Given position, velocity, acceleration, and inertia properties such as mass and mass. Explore math with our beautiful, free online graphing calculator.. Four Bar Linkage Force Calculator.
From www.chiefdelphi.com
Pneumatic Linkage Calculator General Forum Chief Delphi Four Bar Linkage Force Calculator We calculate the velocity and acceleration of the end effector e, given a 1 rad/sec angular velocity of the crank. These notes have been revised to represent rotation matrices using. Explore math with our beautiful, free online graphing calculator. Machine dynamics 4 bar linkage. By entering the required parameters below, kinematic analysis can be performed on the fourbar. This applet. Four Bar Linkage Force Calculator.